基于 TH-PPM 的 RFID 安全認證
作者:肖永兵,鄒傳云,蔡文新
來源:現代電子技術
日期:2010-01-04 09:40:58
摘要:近年來,很多種RFID安全認證的算法和協議(如Hash-Lock協議、分組加密算法)在協議層和算法層上解決RFID系統的安全認證,而這些方法都假設標簽和閱讀器之間的通信已經被竊聽的情況下實現對信息的保護。
0 引 言
近年來,很多種RFID安全認證的算法和協議(如Hash-Lock協議、分組加密算法)在協議層和算法層上解決RFID系統的安全認證,而這些方法都假設標簽和閱讀器之間的通信已經被竊聽的情況下實現對信息的保護。數字加密算法必然增加標簽電路的復雜程度從而增加標簽功耗,研究表明運用3 595個與非門構成的AES算法需要8.5μA電流才能驅動,即使減少了加密算法的功耗和成本,加密算法的時延也不可忽視,因為實現加密算法需多次循環計數,且工作在低頻時鐘下,使得標簽和閱讀器的大部分通信都浪費在實現加密上。研究證明,實現一個AES算法需要大約995個周期,假設標簽的時鐘是1 MHz,那么完成AES加密大約需要1μs,而Gen-2標準的標簽只有1.6μs的時間來傳輸128位信息,可見加密算法的時延是很可觀的。
為了解決數字加密的缺點,人們提出多種輕量級的安全認證(如HB,HB+,HB++協議)試圖降低標簽的成本、功耗。在HB協議中,標簽和閱讀器共享一個密鑰x,HB協議的流程為:閱讀器產生的一個隨機挑戰值a,并發送給標簽;標簽根據a和x的值,通過一系列計算后把結果發給閱讀器;閱讀器檢測結果是否符合規范;如果閱讀器對標簽發送來的結果驗證失敗的次數在規定的次數內的話,標簽就通過驗證。HB協議雖然使電路結構簡單化了,但不能抵抗主動攻擊,假如攻擊者偽裝成閱讀器,傳送一個經過修改的隨機挑戰值a給標簽n次,就能夠推測出x的值。
由于HB協議的缺點,很多學者又對其改進產生了HB+協議和HB++協議,還產生了一些新的協議(如Hash-Lock和Hash鏈協議),但是都是基于Hash運算模塊或分組加密算法,沒有減少標簽安全認證的成本和功耗。
由于加密算法以上缺陷,所以提出基于UWB的RFID安全認證,這種認證是在通信的物理層上實現對RFID系統數據的保護,采用TH-PPM調制。TH-PPM調制解調系統的每個標簽采用各自特定的跳時碼,只有知道跳時碼的接收機才能解調信號。基于UWB的RFID安全認證的優點有:
(1)UWB信號的功率接近信道的噪聲功率,很難被竊聽;
(2)UWB信號不需要加密,因為每個標簽都有不同的跳時碼,而跳時碼是絕對保密的;
(3)由于基于UWB的RFID安全認證系統沒有加密算法的遲延使得通信遲延更短;UWB信號比窄帶信號的抗干擾性能更好,不容易阻塞和竊聽,且可實現頻率復用。
1 UWB RFID安全認證系統
1.1 UWB及TH-PPM
根據香農定律,在有噪聲干擾的條件下,通信系統的極限傳輸速率(信道容量)可以用香農公式表示,即:C=Blog(1+SNR)(C為信道容量;B為信號帶寬;SNR為信噪比)。由香農公式,在信道容量不變的條件下,信噪比和信號帶寬是可以相互置換的,所以當信噪比不變時信道容量和帶寬成正比,增加帶寬也就增加了信道容量(極限容量內),同時減小了對信噪比的要求,擴頻、超寬帶等寬帶通信系統就來源于此。
UWB信號是指其相對帶寬大于0.2,它是利用很窄的脈沖(脈寬一般小于1 ns)來傳輸數據,而不采用連續的波形,所以信號的帶寬很大。窄脈沖一般用高斯多階微分脈沖、升余弦脈沖、多周期脈沖和脈沖串等,由于高斯多階微分脈沖易產生,且階數選得合適可使信號沒有直流分量,還能很好地向空中輻射能量(如一階、二階微分等),所以最常用。高斯多階微分的數學表達式為:
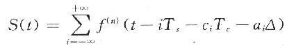
UWB系統有多種脈沖調制方式(TH-PPM,DS-PAM等),由于TH-PPM電路簡單,成本低和功耗小,所以可用于UWB RFID系統的調制方式。PPM調制是利用脈沖出現的位置相對于標準位置的偏移量來表示一個特定的符號。TH-PPM是跳時和脈位調制的結合,首先用PN碼選擇傳輸碼元的時隙(一個周期為2N-1的PN碼的跳時,由于偽隨機生成器在PN碼的一個周期內有2N-1個狀態,所以傳輸一個符號需要2N-1個時隙);然后在PPM調制中用符號來控制脈沖在所選時隙內相對于標準位置的偏移量,TH-PPM信號為:
比如一個二進制的信源,用周期為2N-l的PN碼進行跳時,首先根據PN碼生成器的狀態cj,選擇傳輸PN碼的時隙即在位空間偏移ciTc;然后在選擇的時隙內,當符號為“0”時,脈沖的位置不發生偏移,當符號為“1”時,在時隙內脈沖的位置偏移ai△,脈沖在位空間的總偏移量就為ciTc+ai△,要求ai△《ciTc(當ci≠0)。
1.2 TH-PPM RFID數據幀結構
TH-PPM RFID的數據幀格式如圖1,圖中底層為在位空間中一個被隨機選擇傳輸符號的時隙,由上分析,位空間只可能有一個時隙才有脈沖,一個時隙內偏移量不同代表不同的符號。由圖可見整個數據幀共176 b,分為三個部分:首部、PN序列初態和標簽ID。首部由32 b組成,用于標簽和讀寫器的同步。PN序列的初態和標簽ID分別由16 b和128 b組成。PN序列的初態傳輸給閱讀器實現偽隨機碼同步,如果PN碼不同步,閱讀器就無法對信號進行解擴,無法獲得標簽信息,所以同步是TH-PPM的關鍵。
UWB RFID標簽的結構如圖2所示,主要由能量轉換供應電路、PN碼生成器、PPM和脈沖成形等模塊組成。當標簽的能量轉換電路收到信號后,將一部分能量轉換為標簽所需的能量,另一部分通過窄帶接收機處理為標簽提供時鐘;如果標簽獲得了足夠的能量則根據防碰撞算法(在此未加討論)準備要發送的數據,這時標簽的數據幀中的176 b數據經整合后形成一個二進制數據流,以速率Rb=1/Tb輸入重復編碼器;重復編碼器對輸入的每個符號重復Ns次編碼,將數據流速率提高到Rcd=Ns/Tb=1/Ts(Ts為傳輸一個符號的位空間),實現對數據的信道編碼;然后通過跳時和PPM模塊實現對每個脈沖在位空間和時隙的定位,經沖激響應為高斯多階微分的脈沖成形濾波器后向閱讀器發送一個數據幀。以下主要介紹系統中PN碼生成器和PPM調制模塊。
1.3.1 PN碼生成器
PN碼生成器的結構采用模件抽頭型(MSRG),如圖3所示;MSRG型序列生成器的反饋系數由特征多項式f(x)=c0+c1x+c2x2+…+cixi的系數決定,它們的關系是ci=dm-i。MSRG型序列發生器是在兩個觸發器之間接入一個模2加法器,使得反饋路徑上無時延部件,和反饋移位寄存器結構(SSRG)的發生器比較,其反饋支路上沒有時延部件,其工作頻率為fMSRC=1/(Ti+Ta),而SSRG結構的模2加法器在反饋支路上其工作頻率為fSSR=1/(Tt+∑Ta),所以MSRG型結構提高了發生器的工作速率。m序列共產生2m-1種狀態,所以跳時編碼時一個位空間有2m-1個時隙(m為反饋移位寄存器的級數)。
PPM調制可以采用計數器結構產生,但是這種結構耗能大,所用分頻器結構如圖4所示。
2 結 語
文中比較了多種基于算法和協議的RFID安全認證,但這種安全認證方式都會使標簽的電路復雜化,不利于集成和降低成本,且標簽信息容易泄漏,所以本文提出一種基于UWB的RFID安全認證系統,并對其中的某些重要模塊的實現做了研究和仿真。由于篇幅和能力有限,這樣的系統還有很多問題需要探討和研究,比如基于UWB RFID系統的閱讀器和標簽之間的MAC協議等還需更深入探討。
近年來,很多種RFID安全認證的算法和協議(如Hash-Lock協議、分組加密算法)在協議層和算法層上解決RFID系統的安全認證,而這些方法都假設標簽和閱讀器之間的通信已經被竊聽的情況下實現對信息的保護。數字加密算法必然增加標簽電路的復雜程度從而增加標簽功耗,研究表明運用3 595個與非門構成的AES算法需要8.5μA電流才能驅動,即使減少了加密算法的功耗和成本,加密算法的時延也不可忽視,因為實現加密算法需多次循環計數,且工作在低頻時鐘下,使得標簽和閱讀器的大部分通信都浪費在實現加密上。研究證明,實現一個AES算法需要大約995個周期,假設標簽的時鐘是1 MHz,那么完成AES加密大約需要1μs,而Gen-2標準的標簽只有1.6μs的時間來傳輸128位信息,可見加密算法的時延是很可觀的。
為了解決數字加密的缺點,人們提出多種輕量級的安全認證(如HB,HB+,HB++協議)試圖降低標簽的成本、功耗。在HB協議中,標簽和閱讀器共享一個密鑰x,HB協議的流程為:閱讀器產生的一個隨機挑戰值a,并發送給標簽;標簽根據a和x的值,通過一系列計算后把結果發給閱讀器;閱讀器檢測結果是否符合規范;如果閱讀器對標簽發送來的結果驗證失敗的次數在規定的次數內的話,標簽就通過驗證。HB協議雖然使電路結構簡單化了,但不能抵抗主動攻擊,假如攻擊者偽裝成閱讀器,傳送一個經過修改的隨機挑戰值a給標簽n次,就能夠推測出x的值。
由于HB協議的缺點,很多學者又對其改進產生了HB+協議和HB++協議,還產生了一些新的協議(如Hash-Lock和Hash鏈協議),但是都是基于Hash運算模塊或分組加密算法,沒有減少標簽安全認證的成本和功耗。
由于加密算法以上缺陷,所以提出基于UWB的RFID安全認證,這種認證是在通信的物理層上實現對RFID系統數據的保護,采用TH-PPM調制。TH-PPM調制解調系統的每個標簽采用各自特定的跳時碼,只有知道跳時碼的接收機才能解調信號。基于UWB的RFID安全認證的優點有:
(1)UWB信號的功率接近信道的噪聲功率,很難被竊聽;
(2)UWB信號不需要加密,因為每個標簽都有不同的跳時碼,而跳時碼是絕對保密的;
(3)由于基于UWB的RFID安全認證系統沒有加密算法的遲延使得通信遲延更短;UWB信號比窄帶信號的抗干擾性能更好,不容易阻塞和竊聽,且可實現頻率復用。
1 UWB RFID安全認證系統
1.1 UWB及TH-PPM
根據香農定律,在有噪聲干擾的條件下,通信系統的極限傳輸速率(信道容量)可以用香農公式表示,即:C=Blog(1+SNR)(C為信道容量;B為信號帶寬;SNR為信噪比)。由香農公式,在信道容量不變的條件下,信噪比和信號帶寬是可以相互置換的,所以當信噪比不變時信道容量和帶寬成正比,增加帶寬也就增加了信道容量(極限容量內),同時減小了對信噪比的要求,擴頻、超寬帶等寬帶通信系統就來源于此。
UWB信號是指其相對帶寬大于0.2,它是利用很窄的脈沖(脈寬一般小于1 ns)來傳輸數據,而不采用連續的波形,所以信號的帶寬很大。窄脈沖一般用高斯多階微分脈沖、升余弦脈沖、多周期脈沖和脈沖串等,由于高斯多階微分脈沖易產生,且階數選得合適可使信號沒有直流分量,還能很好地向空中輻射能量(如一階、二階微分等),所以最常用。高斯多階微分的數學表達式為:

UWB系統有多種脈沖調制方式(TH-PPM,DS-PAM等),由于TH-PPM電路簡單,成本低和功耗小,所以可用于UWB RFID系統的調制方式。PPM調制是利用脈沖出現的位置相對于標準位置的偏移量來表示一個特定的符號。TH-PPM是跳時和脈位調制的結合,首先用PN碼選擇傳輸碼元的時隙(一個周期為2N-1的PN碼的跳時,由于偽隨機生成器在PN碼的一個周期內有2N-1個狀態,所以傳輸一個符號需要2N-1個時隙);然后在PPM調制中用符號來控制脈沖在所選時隙內相對于標準位置的偏移量,TH-PPM信號為:

比如一個二進制的信源,用周期為2N-l的PN碼進行跳時,首先根據PN碼生成器的狀態cj,選擇傳輸PN碼的時隙即在位空間偏移ciTc;然后在選擇的時隙內,當符號為“0”時,脈沖的位置不發生偏移,當符號為“1”時,在時隙內脈沖的位置偏移ai△,脈沖在位空間的總偏移量就為ciTc+ai△,要求ai△《ciTc(當ci≠0)。
1.2 TH-PPM RFID數據幀結構
TH-PPM RFID的數據幀格式如圖1,圖中底層為在位空間中一個被隨機選擇傳輸符號的時隙,由上分析,位空間只可能有一個時隙才有脈沖,一個時隙內偏移量不同代表不同的符號。由圖可見整個數據幀共176 b,分為三個部分:首部、PN序列初態和標簽ID。首部由32 b組成,用于標簽和讀寫器的同步。PN序列的初態和標簽ID分別由16 b和128 b組成。PN序列的初態傳輸給閱讀器實現偽隨機碼同步,如果PN碼不同步,閱讀器就無法對信號進行解擴,無法獲得標簽信息,所以同步是TH-PPM的關鍵。

UWB RFID標簽的結構如圖2所示,主要由能量轉換供應電路、PN碼生成器、PPM和脈沖成形等模塊組成。當標簽的能量轉換電路收到信號后,將一部分能量轉換為標簽所需的能量,另一部分通過窄帶接收機處理為標簽提供時鐘;如果標簽獲得了足夠的能量則根據防碰撞算法(在此未加討論)準備要發送的數據,這時標簽的數據幀中的176 b數據經整合后形成一個二進制數據流,以速率Rb=1/Tb輸入重復編碼器;重復編碼器對輸入的每個符號重復Ns次編碼,將數據流速率提高到Rcd=Ns/Tb=1/Ts(Ts為傳輸一個符號的位空間),實現對數據的信道編碼;然后通過跳時和PPM模塊實現對每個脈沖在位空間和時隙的定位,經沖激響應為高斯多階微分的脈沖成形濾波器后向閱讀器發送一個數據幀。以下主要介紹系統中PN碼生成器和PPM調制模塊。
1.3.1 PN碼生成器
PN碼生成器的結構采用模件抽頭型(MSRG),如圖3所示;MSRG型序列生成器的反饋系數由特征多項式f(x)=c0+c1x+c2x2+…+cixi的系數決定,它們的關系是ci=dm-i。MSRG型序列發生器是在兩個觸發器之間接入一個模2加法器,使得反饋路徑上無時延部件,和反饋移位寄存器結構(SSRG)的發生器比較,其反饋支路上沒有時延部件,其工作頻率為fMSRC=1/(Ti+Ta),而SSRG結構的模2加法器在反饋支路上其工作頻率為fSSR=1/(Tt+∑Ta),所以MSRG型結構提高了發生器的工作速率。m序列共產生2m-1種狀態,所以跳時編碼時一個位空間有2m-1個時隙(m為反饋移位寄存器的級數)。

PPM調制可以采用計數器結構產生,但是這種結構耗能大,所用分頻器結構如圖4所示。

2 結 語
文中比較了多種基于算法和協議的RFID安全認證,但這種安全認證方式都會使標簽的電路復雜化,不利于集成和降低成本,且標簽信息容易泄漏,所以本文提出一種基于UWB的RFID安全認證系統,并對其中的某些重要模塊的實現做了研究和仿真。由于篇幅和能力有限,這樣的系統還有很多問題需要探討和研究,比如基于UWB RFID系統的閱讀器和標簽之間的MAC協議等還需更深入探討。