本振相位噪聲對RFID詢問范圍的影響分析(一)
無源UHF RFID系統中使用的本地振蕩器的相位噪聲被證實是影響該系統最終詢問范圍的關鍵限制因素。RFID閱讀機的發射功率是決定FIR的主要因素,而閱讀機天線增益、本振相位噪聲和Tx/Rx隔離度是決定RIR的主要因素。本文將探討本振相位噪聲對RFID詢問范圍的影響。
射頻識別(RFID)系統已經迅速成為通過使用緊湊型RFID標簽存儲和遠程獲取數據的可靠方式。特別是超高頻(UHF)無源RFID的使用對許多應用來說極具吸引力,因為它能從合理的距離實現信號識別。對供應鏈管理以及正在計劃在他們的供應鏈中強制使用UHF RFID的許多大型公司(如沃爾瑪和Tesco)來說,這種技術是非常理想的。
UHF RFID系統的性能通常由系統的詢問范圍來表征,該范圍被定義為RFID閱讀機能夠識別標簽的最大距離。詢問范圍可分為兩大類:前向鏈路詢問范圍(FIR)和反向鏈路詢問范圍(RIR)。在UHF RFID系統中,前向鏈路指的是從閱讀機到標簽的通信鏈路,而反向鏈路是指從標簽到閱讀機的通信鏈路。FIR被定義為標簽接收到可實現啟動和后向散射的功率的最大距離,而RIR是閱讀機能夠解碼滿足SNR要求的標簽數據的最遠距離。由于實際的詢問距離取決于FIR和RIR中的最小值,因此在部署UHF RFID系統時應同時考慮這兩個值。
圖1將UHF RFID鏈路概念與典型的無線通信系統,如碼分多址(CDMA)或全球移動通信系統(GSM)蜂窩系統,進行了比較。在典型的無線通信系統中,前向鏈路指的是從基站(BS)到移動臺(MS)的通信鏈路,而反向鏈路則是從移動臺到基站的通信鏈路。這兩條鏈路上的噪聲電平取決于熱噪聲功率PN:
PN,thermal = 4kTB (1)
其中
k = Boltzman常數,
T = 絕對溫度(K)
B = 帶寬
一般來說,無線通信系統的前向和反向鏈路是平衡的,兩條鏈路的動態范圍幾乎是相同的。因此前向鏈路覆蓋距離相當接近反向鏈路覆蓋距離,雖然前向鏈路和反向鏈路的發射功率可能不同。
相反,無源UHF RFID系統的前向和反向通信鏈路是不平衡的(圖1),這是因為RFID標簽沒有內部電源,必須從RFID閱讀機發射的連續波(CW)信號中獲取能量。因此FIR主要依賴于啟動標簽所必要的門限功率。另外一個主要區別是在閱讀機環形器端的發射器(Tx)泄漏相位噪聲對系統噪聲的影響比閱讀機接收器(Rx)的熱噪聲所造成的影響要大。因此RIR值很可能比FIR小,特別是對于設計較差的固定閱讀機或手持式閱讀機。

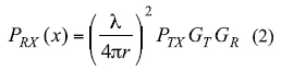
在對UHF RFID系統的這次研究中,假設RFID閱讀機天線采用的極化方式與標簽天線相匹配。如果r表示RFID標簽和在自由空間操作的閱讀機之間的工作距離,那么RFID標簽接收到的功率PRx符合Friis電磁(EM)波傳播公式:

其中
λ = 自由空間中的波長,
PT,x = 被發射器饋送進閱讀機天線的信號功率,
GR = 閱讀機天線的增益,
GT = 標簽天線的增益,
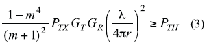
功率PRx的一部分被標簽吸收用于產生直流電源,其它部分通過后向散射實現反向鏈路。為了確保標簽能正確工作,吸收功率必須大于標簽工作所需的最小功率PTH}。在標簽采用幅移鍵控(ASK)調制的情況下,標簽的時間平均吸收功率等于7:

其中
m = 調制深度
一般來說,PTH根據標簽芯片設計和天線匹配條件來確定,然后FIR的Tforward就可以由等式4得到:

根據等式4計算得到的FIR值為8米,如圖2所示。在等式4中,FIR正比于發射的有效同向幅射功率(EIRP) PTxG{T的平方根和天線增益GR,并且反比于標簽功率門限電平PTH的平方根。根據經驗,啟動標簽所需的射頻門限功率電平范圍從10?}W(-20dBm)到50?W(-13dBm)。調制深度m被選為0.1和0.9之間的平均值。

在反向鏈路中,來自標簽的后向散射信號應足夠強大,才能使閱讀機的解調輸出信號滿足系統的信噪比(SNR)要求。為了計算閱讀機解調輸出信號的SNR,可以考慮使用圖3所示的傳統閱讀機架構。該RFID閱讀機由本地振蕩器、發射器、接收器和帶環形器的天線組成。環形器是一種單向三端口器件,信號從發射器端口傳送到天線端口,或從天線端口傳送到接收端口。在實際使用中,由于端口之間存在固有的泄漏現象,環形器不能完全隔離發射器和接收器。通常Tx/Rx隔離范圍從20到50dB10。因此,Tx泄漏功率的相位噪聲比熱噪聲強大得多,以至于RIR主要取決于Tx/Rx隔離度。而在典型的無線通信系統中,Tx泄漏通常不是大問題,因為它們采用了頻分復用(FDD)和時分復用(TDD)等復用技術。

如圖3所示,本地振蕩器(以下簡稱本振)提供兩個相同頻率的信號:一個用于發射器,另一個用于接收器。在忽略幅度噪聲的條件下本振可以被表示為:

其中
ALO = 本振信號的幅度,
ω = 角頻率
θLO (t) = 本振信號的相位噪聲.
RFID系統的功放(PA)用于提升本振信號的電平。放大后的信號通過環形器饋送給閱讀機天線,然后輻射進自由空間。同時閱讀機天線接收來自標簽的后向散射信號。
從圖3可以看出,環形器不能完全隔離發射器和接收器,因為它的端口之間存在固有的泄漏現象。TX泄漏信號延時等式是:

其中
AU = (2ηROPTx)0.5 = 信號幅度,
η = Tx/Rx隔離度,
RO = RFID閱讀機接收器的輸入阻抗,
Δt = Tx泄漏信號和本振信號之間的來回延時。
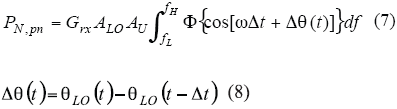
重要的是要認識到,等式5和6中的θLO (t)與相同本振源產生的相位噪聲有關,但與時延無關。同時假設RFID閱讀機接收器中使用的基帶帶通濾波器(BPF)具有陡峭的頻率選擇性。為了簡化進一步的分析,BPF的脈沖響應可以近似用理想的矩形傳輸函數表征,其低端頻率和高端截止頻率分別用fL和fH表示。在使用正交接收器時,Tx泄漏信號和本振信號被混頻,輸出再經過低通濾波。Tx泄漏信號的最終相位噪聲可以表示為:

其中
GYX = 考慮了射頻電路總增益的接收器傳輸系數
φ{·} = 用于計算隨機過程功率譜密度(PSD)的操作符,例如隨機過程自相關函數的傅里葉變換。
本文下一部分將介紹RFID系統只是發射UHF連續波信號的情況。
作者:Dr. Byung-Jun Jang
Dr. Hyun-Goo Yoon