多傳感器融合定位在高速鐵路的應用
作者:蘭州交通大學自動化學院 焦 婷,董 昱
來源:電子科技
日期:2009-12-24 08:52:12
摘要:針對高速鐵路列車運行控制系統中的列車定位問題,提出了GPS/DR/MM組合定位的方案,利用卡爾曼濾波對多傳感器的數據信息進行融合之后再與電子地圖匹配,實時提供列車的定位信息。與單一傳感器定位方式相比,可以進一步提高列車的測速定位精度,保證了高速列車安全、可靠的運行。
2009年在武廣、鄭西等客運專線中,C3列控系統的應用,對高速鐵路列車定位技術提出了更高的要求。C3列控系統的主要技術原則中明確提出,列車的運營速度達到350 km/h,最小追蹤間隔為3 min,并且300 km/h及以上動車組不裝設列車運行監控裝置,在300 km/h及以上線路,CTCS-3級列控系統車載設備速度容限規定為超速2 km/h報警、超速5 km/h觸發常用制動、超速15 km/h觸發緊急制動。這些技術原則要求高速鐵路列車運行控制系統必須在任何時刻、任何地方都能確定列車的準確位置,包括列車的行車安全的相關間隔、速度、加速度及軌旁設備和車載設備資源的分配。由這些信息來確定是否需要采取制動措施,保證安全間隔。目前,陀螺、加速度計、里程儀、GPS接收機等傳感器已經普遍應用于列車測速定位系統。
1 高速鐵路技術的發展
高速鐵路技術的發展是多種多樣的,各個國家根據其路況、地形、運營需求采用不同的定位技術。法國AS-TREE系統采用多普勒雷達進行測速定位;北美ARES,PTC,PTS系統采用GPS(全球定位系統)進行定位;歐洲ETCS、日本CARAT系統采用查詢/應答器和速度傳感器進行定位;德國LZB系統采用軌間電纜進行列車定位;美國AATC系統采用無線測距進行定位。
根據中國鐵路地形、線路的復雜狀況及高速鐵路對列車定位技術的要求,文中提出了多傳感器組合定位的方案,選用GPS/DR/MM組合定位的方式,利用多傳感器組合定位技術信息互補的特點,采用卡爾曼濾波將所得信息進行數據融合,得到比單一傳感器定位更精確的定位數據。
該方案利用DR自主定位的特點,可以保證列車在任何地方、任何時候都可以輸出定位信息,而GPS的采用可以給DR提供初始位置數據,MM的運用滿足了系統對定位精度的需求。融合算法部分采用聯邦濾波算法,解決了其他濾波算法計算負擔重,容錯性能差的缺點。
2.1 列車定位方式的選擇
2.1.1 定位方式介紹
GPS是一種無線電導航系統。作為最早應用于導航定位系統的高新技術,有著在全球范圍內、在任意時刻、任意氣象條件下為用戶提供連續不斷的高精度三維位置、速度和時間信息的特點。采用GPS定位時只需要在機車上安裝接收機即可,但在周圍阻擋物多的地方列車的定位精度會受到影響。并且,GPS對衛星故障十分敏感,一但一顆衛星失效,就會出現GPS性能惡化的情況。所以,不能單一的將GPS定位信息作為列控系統的位置參數。
DR是車輛定位導航中采用的一種比較經典的算法。它由測量航向的傳感器和測量距離的傳感器構成。本方案中采用里程儀作為測量距離的傳感器,陀螺儀作為測量航向的傳感器。里程儀輸出的是脈沖信號。車輪每轉一圈,里程儀輸出固定數量的脈沖信號,通過累加一定時間內的里程儀的脈沖數目,可以計算出車輛在這一段時間內所駛過的距離,也可以計算出車輛行駛的速度。陀螺儀輸出航向角的角速率信息。將陀螺輸出的角速率信息積分可得到列車的相對轉角。與GPS相比,DR可以自主定位,不存在遮擋等問題引起的列車定位信息遺失。但DR系統的初始位置無法自主得到,并且航跡推算是一個累加的過程,不同時刻的測量誤差和計算誤差都會累積起來,隨著時間的推移,DR誤差是一個發散的過程。
2.1.2 定位方案
根據以上對GPS和DR定位特點的分析,本方案采取多傳感器組合定位技術,即各種定位技術互相補充的方案。在鐵路線路區間,當GPS信息連續時在機車頭部安裝的GPS接收機將GPS信息送給定位系統,GPS信息作為主信息,DR信息和查詢應答器信息作為校驗信息,三者聯合濾波后給出最優的定位估計信息。
遇到“城市峽谷“等障礙區時,GPS信號會消失或減弱,這時采用DR信息作為主信息。GPS失效前一點位置正好可以作為DR的初始位置,有了初始位置以后,利用里程儀和陀螺儀就可以對下一時刻列車的位置做出估計。
列車進入車站后,由于股道線間距很小,GPS和DR的定位精度已經不能很好的表現出股道的差異,因此采用查詢應答器來獲得列車在站內的定位信息。此時查詢應答器信息作為主信息,而GPS信息和DR信息作為校驗信息。
2.2 數據融合方法
該方案最核心的問題就是系統基于數據融合的定位算法的設計。在列車測速定位領域應用的數據融合方法有判斷檢測理論、估計理論、數據關聯等,而應用最廣泛的就是估計理論中的卡爾曼濾波方法。與其他估計算法相比,卡爾曼濾波具有顯著的優點:采用狀態空間法在時域內設計濾波器,用狀態方程就可以描述任何復雜多維信號的動力學特性,避開了在頻域內對信號功譜做分解帶來的麻煩,濾波器的設計簡單易行,采用遞推算法。所以卡爾曼濾波能適用于任何平穩或非平穩隨機向量過程的估計,所得估計在線性估計中精度最佳。目前已經開發的濾波算法包括線性卡爾曼濾波,擴展卡爾曼濾波以及聯邦卡爾曼濾波。該方案采用聯邦卡爾曼濾波進行數據融合。
2.2.1 數據融合的聯合卡爾曼濾波模型
此濾波算法中,取βm=0,即主濾波器沒有信息輸入,進一步優化系統,減少了運算量。
2.2.2 系統濾波算法步驟
(1)由局部濾波器l處理GPS接收機輸出的列車位置信息,并給出狀態估計x1和估計誤差的協方差矩陣p1;
(2)局部濾波器2處理陀螺儀和里程儀輸出的角度信息x2和列車運行距離信息,給出狀態估計和估計誤差的協方差矩陣p2;
(3)局部濾波器3處理查詢應答器輸出的進路長度等信息,給出狀態估計x3和估計誤差的協方差矩陣p3;
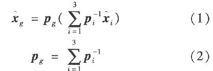
(4)x1,x2,x3,及p1,p2,p3被送到主濾波器,并同主濾波器的狀態估計一起按式(1)和式(2)進行融合,得到全局最優估計和協方差矩陣
(5)利用主濾波器的最優估計值對3個子濾波器的狀態估計進行重置。即
2.2.3 信息分配參數的選擇
不同的信息分配系數可以獲得聯邦濾波器的不同結構以及不同的容錯性能、濾波精度和計算量。本方案中設計了一種自適應聯邦卡爾曼濾波器。利用GPS接收機輸出的反映定位精度的參數為依據,自動調整P值的大小。本定位系統根據GPS接收機的p值大小來決定取值。具體的自適應算法為
2.3 地圖匹配
GPS和DR系統的組合導航在一定程度上提高了定位系統的精度和可靠性,但定位數據仍然存在一定誤差,并且當GPS數據丟失時,DR系統的誤差會累積變大。在實際系統中通常采用地圖匹配算法來進一步提高GPS和DR系統的精度。
地圖匹配的基本思想是將車輛定位軌跡與數字地圖中的道路網信息聯系起來,并由此相對于地圖確定車輛的位置。地圖匹配的算法分為兩個相對獨立的過程:一是道路選擇,主要是對道路進行分段,提取道路特征信息,然后采用適當的搜索規則和匹配算法根據當前傳感器給出的車輛信息,在地圖數據庫中尋找一條最有可能的道路;二是道路匹配,將車輛當前位置匹配并顯示在這條道路上,用于消除傳感器的定位誤差。
3 結束語
針對高速鐵路列車運行控制系統中的列車定位問題,提出了GPS/DR/MM組合定位的方案,利用卡爾曼濾波對多傳感器的數據信息進行融合之后再與電子地圖匹配,實時提供列車的定位信息。與單一傳感器定位方式相比,可以進一步提高列車的測速定位精度,保證了高速列車安全、可靠的運行。
1 高速鐵路技術的發展
高速鐵路技術的發展是多種多樣的,各個國家根據其路況、地形、運營需求采用不同的定位技術。法國AS-TREE系統采用多普勒雷達進行測速定位;北美ARES,PTC,PTS系統采用GPS(全球定位系統)進行定位;歐洲ETCS、日本CARAT系統采用查詢/應答器和速度傳感器進行定位;德國LZB系統采用軌間電纜進行列車定位;美國AATC系統采用無線測距進行定位。
根據中國鐵路地形、線路的復雜狀況及高速鐵路對列車定位技術的要求,文中提出了多傳感器組合定位的方案,選用GPS/DR/MM組合定位的方式,利用多傳感器組合定位技術信息互補的特點,采用卡爾曼濾波將所得信息進行數據融合,得到比單一傳感器定位更精確的定位數據。

該方案利用DR自主定位的特點,可以保證列車在任何地方、任何時候都可以輸出定位信息,而GPS的采用可以給DR提供初始位置數據,MM的運用滿足了系統對定位精度的需求。融合算法部分采用聯邦濾波算法,解決了其他濾波算法計算負擔重,容錯性能差的缺點。
2.1 列車定位方式的選擇
2.1.1 定位方式介紹
GPS是一種無線電導航系統。作為最早應用于導航定位系統的高新技術,有著在全球范圍內、在任意時刻、任意氣象條件下為用戶提供連續不斷的高精度三維位置、速度和時間信息的特點。采用GPS定位時只需要在機車上安裝接收機即可,但在周圍阻擋物多的地方列車的定位精度會受到影響。并且,GPS對衛星故障十分敏感,一但一顆衛星失效,就會出現GPS性能惡化的情況。所以,不能單一的將GPS定位信息作為列控系統的位置參數。
DR是車輛定位導航中采用的一種比較經典的算法。它由測量航向的傳感器和測量距離的傳感器構成。本方案中采用里程儀作為測量距離的傳感器,陀螺儀作為測量航向的傳感器。里程儀輸出的是脈沖信號。車輪每轉一圈,里程儀輸出固定數量的脈沖信號,通過累加一定時間內的里程儀的脈沖數目,可以計算出車輛在這一段時間內所駛過的距離,也可以計算出車輛行駛的速度。陀螺儀輸出航向角的角速率信息。將陀螺輸出的角速率信息積分可得到列車的相對轉角。與GPS相比,DR可以自主定位,不存在遮擋等問題引起的列車定位信息遺失。但DR系統的初始位置無法自主得到,并且航跡推算是一個累加的過程,不同時刻的測量誤差和計算誤差都會累積起來,隨著時間的推移,DR誤差是一個發散的過程。
2.1.2 定位方案
根據以上對GPS和DR定位特點的分析,本方案采取多傳感器組合定位技術,即各種定位技術互相補充的方案。在鐵路線路區間,當GPS信息連續時在機車頭部安裝的GPS接收機將GPS信息送給定位系統,GPS信息作為主信息,DR信息和查詢應答器信息作為校驗信息,三者聯合濾波后給出最優的定位估計信息。
遇到“城市峽谷“等障礙區時,GPS信號會消失或減弱,這時采用DR信息作為主信息。GPS失效前一點位置正好可以作為DR的初始位置,有了初始位置以后,利用里程儀和陀螺儀就可以對下一時刻列車的位置做出估計。
列車進入車站后,由于股道線間距很小,GPS和DR的定位精度已經不能很好的表現出股道的差異,因此采用查詢應答器來獲得列車在站內的定位信息。此時查詢應答器信息作為主信息,而GPS信息和DR信息作為校驗信息。
2.2 數據融合方法
該方案最核心的問題就是系統基于數據融合的定位算法的設計。在列車測速定位領域應用的數據融合方法有判斷檢測理論、估計理論、數據關聯等,而應用最廣泛的就是估計理論中的卡爾曼濾波方法。與其他估計算法相比,卡爾曼濾波具有顯著的優點:采用狀態空間法在時域內設計濾波器,用狀態方程就可以描述任何復雜多維信號的動力學特性,避開了在頻域內對信號功譜做分解帶來的麻煩,濾波器的設計簡單易行,采用遞推算法。所以卡爾曼濾波能適用于任何平穩或非平穩隨機向量過程的估計,所得估計在線性估計中精度最佳。目前已經開發的濾波算法包括線性卡爾曼濾波,擴展卡爾曼濾波以及聯邦卡爾曼濾波。該方案采用聯邦卡爾曼濾波進行數據融合。

2.2.1 數據融合的聯合卡爾曼濾波模型
此濾波算法中,取βm=0,即主濾波器沒有信息輸入,進一步優化系統,減少了運算量。
2.2.2 系統濾波算法步驟
(1)由局部濾波器l處理GPS接收機輸出的列車位置信息,并給出狀態估計x1和估計誤差的協方差矩陣p1;
(2)局部濾波器2處理陀螺儀和里程儀輸出的角度信息x2和列車運行距離信息,給出狀態估計和估計誤差的協方差矩陣p2;
(3)局部濾波器3處理查詢應答器輸出的進路長度等信息,給出狀態估計x3和估計誤差的協方差矩陣p3;
(4)x1,x2,x3,及p1,p2,p3被送到主濾波器,并同主濾波器的狀態估計一起按式(1)和式(2)進行融合,得到全局最優估計和協方差矩陣

(5)利用主濾波器的最優估計值對3個子濾波器的狀態估計進行重置。即

2.2.3 信息分配參數的選擇
不同的信息分配系數可以獲得聯邦濾波器的不同結構以及不同的容錯性能、濾波精度和計算量。本方案中設計了一種自適應聯邦卡爾曼濾波器。利用GPS接收機輸出的反映定位精度的參數為依據,自動調整P值的大小。本定位系統根據GPS接收機的p值大小來決定取值。具體的自適應算法為

2.3 地圖匹配
GPS和DR系統的組合導航在一定程度上提高了定位系統的精度和可靠性,但定位數據仍然存在一定誤差,并且當GPS數據丟失時,DR系統的誤差會累積變大。在實際系統中通常采用地圖匹配算法來進一步提高GPS和DR系統的精度。
地圖匹配的基本思想是將車輛定位軌跡與數字地圖中的道路網信息聯系起來,并由此相對于地圖確定車輛的位置。地圖匹配的算法分為兩個相對獨立的過程:一是道路選擇,主要是對道路進行分段,提取道路特征信息,然后采用適當的搜索規則和匹配算法根據當前傳感器給出的車輛信息,在地圖數據庫中尋找一條最有可能的道路;二是道路匹配,將車輛當前位置匹配并顯示在這條道路上,用于消除傳感器的定位誤差。
3 結束語
針對高速鐵路列車運行控制系統中的列車定位問題,提出了GPS/DR/MM組合定位的方案,利用卡爾曼濾波對多傳感器的數據信息進行融合之后再與電子地圖匹配,實時提供列車的定位信息。與單一傳感器定位方式相比,可以進一步提高列車的測速定位精度,保證了高速列車安全、可靠的運行。