無源超高頻RFID應答器的設計
作者:作者:Faisal Mohd-Yasin, Y.K. Teh、M.B.I. Reaz等
來源:與非網
日期:2007-10-16 12:06:30
摘要:UHF RFID應答器的一個主要設計約束是功率估算,它必須為數字模塊提供幾十μW的功率。如果要增加工作距離,則必須增加功率。另一個設計約束條件是芯片尺寸,通常選擇尺寸盡可能小的IC。在迄今為止涉及最簡單的RFID發射應答器中,整流器和數字模塊這兩個部分的功耗最大。數字模塊的不同性能參數使設計工程師可以在不同的設計約束之間進行折衷,包括架構、邏輯類型和綜合過程中最優化的面積/功耗。
射頻識別(RFID)技術的應用范圍非常廣。由于具有非觸點和非視距的特性, RFID特別適用于供應鏈的管理。無源RFID在低頻(125 kHz)和高頻(13.56 MHz)市場上出現已經有一段時間了。在2003年以前,已經出現了多種 UHF RFID標準。麻省理工學院汽車標識中心(Massachusetts Institute of Technology’s Auto-ID Center)(位于馬薩諸塞州劍橋)意識到了多種專利RFID標準的問題,認識到地方性的協議會阻止RFID技術的發展和普及。為營造互用和國際性遵從的規章,就需要單一、開放的標準。他們推薦的下一代UHF RFID——即Gen 2標準的前身有兩個意義。一旦單一國際性標準確立下來,基于UHF RFID的系統應用將更快、使用更方便、價格更便宜、系統更魯棒;會出現多供應商渠道。該汽車標識中心2003年6月在瑞士蘇黎世一個討論會上提出啟動Gen 2的工作。他們最終將開發和商業化該標準的工作轉化成EPCglobal, 2004年12月已將該標準批準為"860 MHz到960 MHz第二代UHF RFID通訊協議"。
從RFID IC設計角度看,RFID存在兩個主要的設計約束:功率可用性/帶寬和應答器的復雜性。無源UHF RFID應答器設計要求折衷考慮功率要求、復雜性和芯片尺寸等因素,以獲得期望的性能。
目前,一些主要國家對UHF工業、科學和醫學(ISM)頻段的頻譜分配、帶寬和輻射功率的要求差異很大。(輻射功率常被定義為有效的各向同性輻射功率( EIRP))。根據"EPC全球"標準,UHF頻段范圍從860 MHz到960MHz,允許的功率水平為4W。但不同地區對UHF ISM頻段的要求不同:在北美,UHF ISM頻段為902 MHz到928 MHz,最大EIRP為4W;在歐洲,UHF ISM頻段為865MHz到868 MHz,最大EIRP為2W;在日本,UHF ISM頻段為952MHz到954 MHz,最大EIRP為4W。
應答器的復雜性是另一個設計約束因素。應答器的接收范圍取決于RF IC片(標簽)的最低導通功率(閾值功率)。在UHF RFID系統中,無源反向散射原理經常用在從標簽到讀卡器的反向鏈路中。可讀取范圍常常由從讀卡器到標簽的前向鏈接中標簽的可用輻射功率決定,這是因為到達讀卡器RF前端的可用反向散射信號強度大約為-25~-65dBm。

圖1:基本的UHF RFID應答器由整流器、調制器、解調器以及處理邏輯電平協議和存儲功能的數字電路。
如何選擇合適的工藝來制造RFID應答器芯片也是一個挑戰。為滿足低功耗要求,通常使用導通電壓低、結電容低以及驅動電流大的肖特基點觸點型二極管。因為生產肖特基觸點的工藝不屬于標準硅 CMOS半導體工藝,所以現在正在對用標準(低成本)數字體CMOS工藝制造肖特基觸點進行研究。對更昂貴工藝的研究也在進行,例如可制造高速雙極結型晶體管( BJT)器件的硅BiCMOS,以及低功耗性能非常優異的絕緣硅(SOI)技術。下面討論設計基本UHF RFID應答器所需的RF電路關鍵技術,包括整流器、調制/解調器和數字模塊等關鍵模塊。
RFID應答器的整流器電路
UHF RFID應答器由4個構建塊組成:整流器、調制器、解調器以及處理邏輯電平協議和存儲功能的數字電路(圖1)。在無源RFID系統中,能量取自于入射的詢問波。因為詢問波的能量很少,所以將應答器的功率保持在最小水平非常關鍵。
無源RFID應答器利用整流器電路將耦合的電磁波功率轉換成芯片所需的直流電壓。描述整流器電路性能的參數包括輸入阻抗Zin或芯片的品質因子(Q)、芯片的運行功率Pin和電壓Vin。整流器電路必須能將入射RF能量以最大效率(η)轉換成直流能量。電路設計工程師必須在維持高轉換效率的同時,獲得最大的輸出電壓及輸入阻抗。普通的全波整流器和Dickson電荷泵為兩個常用的整流結構。
采用兩個二極管級聯結構的全波整流器很常見。此外還存在這種結構的變體,包括一些基于 NMOS和 PMOS開關的結構。最主要的是,全波整流器的效率很高。但是,全波整流器要求輸入電壓超過3 VTH,這樣芯片可以輸出期望的輸出電壓。因此,全波整流器電路在UHF RFID應用中的工作范圍有限,除非它帶有高輻射電阻天線和高Q值匹配網絡,以便對輸入電壓進行放大。匹配網絡的Q值一般只為10量級。

圖2:Dickson電荷泵是UHF RFID整流器電路的一種可選結構,圖中是Dickson電荷泵的工作原理圖。
UHF RFID整流器電路的另一種可選結構是Dickson電荷泵(圖2),它主要用在非易失性存儲器中,以產生 EEPROM電路所需的高編程電壓。因為大多數RFID芯片也包含非易失性存儲器,所以設計工程師可以重用該電路拓撲,實現產生高電壓的電路,從而節省開發時間。
Dickson結構的簡化等式如式1。
Dickson電荷泵幾乎可用任何半導體器件來構建,但采用肖特基二極管和低閾值電壓( VTH ) MOSFET的設計具有最佳性能。Dickson電荷泵電路要求輸入電壓很小,設計工程師可以通過控制級數(N)來選擇想要的輸出電壓和輸入阻抗。但由于整流器件數量多,并存在泄漏電流和寄生參數,Dickson電荷泵的功率轉換效率較低。
RFID應答器的調制器和解調器
RFID調制器將應答器數據發送到RFID詢問器或讀卡器。反向散射調制被專門用在UHF RFID系統中。EPC Gen2協議定義了幅移鍵控( ASK)和相移鍵控( PSK)兩個調制方案。在ASK調制方案中,兩個阻抗狀態(只改變純電阻,開路或短路或等于兩個非零電阻)在兩個天線引腳之間互相切換。用戶可以選擇任何一個狀態來表示邏輯1或0。在PSK調制方案中也有兩個受控的阻抗狀態,但只改變虛部值。為在兩個虛部電抗值之間切換,設計工程師常常使用大MOSFET或帶壓敏電容的變容二極管。
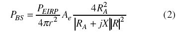
在UHF RFID芯片設計中,天線端的等效阻抗可用電抗與電阻并聯來表示(圖3)。假設天線具有最小散射,則反向散射功率由式2表示:
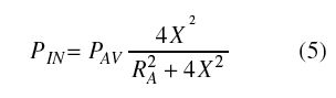
在ASK調制中,天線端的等效阻抗為實數(X >> R),并在R1和R2之間對數據信號進行了調制。為使兩個狀態具有一樣的阻抗失配,選擇R1×R2=R2A 就足夠了。此時,在這兩個狀態中從天線傳送到負載的功率相等。假設R2>R1,為調制天線端的等效電阻,可以使用一個由數據信號驅動的開關,將電阻RMOD與應答器輸入電阻(R2)并聯,這樣R1=R2||RMOD。當不接電阻RMOD時,從天線等效的電阻等于R2,從天線傳送到負載的所有功率PIN2都可用來給應答器供電。當連接RMOD時,天線端的等效電阻等于R1,從天線傳送到負載的功率PIN的一部分可以用來為發射應答器供電,其余功率消耗在電阻RMOD上。當PIN2等于PIN1時,R1= R2。因此,從設計角度看,在ASK機制中不可能為標簽IC提供恒定功率。相應的等式為:
在PSK調制方案中,R= RA,這樣應答器近似處于匹配狀態,虛部分量X與數據信號進行調制。反向散射信號的相位信號θ由式4確定:
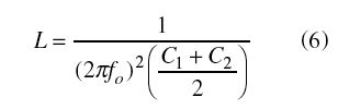
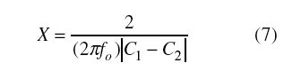
天線端的等效平均電抗(X)包括微分電容分量,并由式7確定:
解調器被用來將 RF載波中的數字信息解調出來。因為成本和電路板面積是主要的考慮因素,所以一般不考慮昂貴的相干檢測/超外差檢測。與幅度調制( AM/ASK)兼容的調制機制( DSBASK、 SSB-ASK和 PR-ASK)是詢問器-標簽調制方案的實際選擇,正如EPC Gen2協議所定義的那樣。對ASK兼容信號進行解碼所需的模擬元件是類似的,也是整流器和比較器。有些系統采用脈寬調制( PWM),因此除了使用包絡檢波器外,這些系統中的解調器必須測量輸入信號的脈寬,并利用脈寬甄別器區分信號中的數字1和數字0信息,否則數字模塊必須區分基于不同編碼的脈沖。
ASK采用最簡單的RF檢波,它使用了一個用二極管電容網絡實現的基本包絡檢波器。ASK解調器將以幅度變化形式存在的信息解調出來。解調器實際上是一個邊沿檢波器。在RFID系統的前向鏈路中不采用PSK,因為PSK解調采用了超外差檢波,需要本振( LO)、混頻器和濾波電路,這些電路非常復雜,而且需要很大的裸片面積。

圖4:RFID應答器的邏輯內存映射。
解調器的工作原理是:輸入載波通過整流器和包絡檢波器,獲得其包絡信息;包絡檢波器后面的低通濾波器屏蔽載波上其余的紋波噪聲;隨后信號被饋送到遲滯比較器,產生輸出。在邊沿檢波設計中必須考慮三個因素:低通濾波、比較器的遲滯性和比較器的靈敏度。RFID讀卡器決定了給數據率加標簽、編碼和包絡屏蔽期間的低通濾波參數。濾波器帶寬應該小于信號帶寬。有關數據包絡的規范在RFID空中接口協議中有說明。
比較器必須滿足UHF RFID應答器解調器定義的性能要求。應答器輸入電壓的動態范圍應根據不同的物理區域,在幾百毫伏到幾伏左右變化。包絡檢波器和低通濾波器后面的信號應具有相同的幅值范圍。比較器的性能指標包括比較器的共模輸入電平,以及以共模輸入電平百分比表示的差模輸入電平。
比較器的另一個重要參數是遲滯性。當模擬輸入信號緩慢移動或者包含噪聲時,但輸入信號處于閾值點附近時,比較器輸出可能發生振蕩。利用遲滯性可使輸出轉換期間的振蕩最小,但高遲滯性也意味著靈敏度下降、轉換速度變慢。
RFID應答器的數字控制模塊
數字控制模塊處理詢問命令、執行防沖突協議、進行數據總校驗、運行存儲器讀寫操作,并執行輸出控制和數據流動。EPC Gen2標準的命令組很復雜,需要使用復雜的數字核。根據用戶需求,如果要實現全部的Class 1(包括讀寫)性能,則需要非易失性存儲器。
詢問器利用三種基本操作管理標簽組。這些操作中的每一個都包含一個或多個命令。這些操作定義如下:
1.選擇過程是詢問器選擇RFID標簽組用于編目和讀寫的過程。在編目之前,詢問器可能使用一個或多個"選擇"命令來選擇某一特定標簽組。
2.編目過程是詢問器識別不同標簽的過程。詢問器通過以發射四個節中的一個之一發射"查詢"命令,開始編目過程。一個或多個RFID標簽可能回答。詢問器檢測到一個信號標簽回答后,請求該標簽的PC、EPC和CRC-16。每次只能一個節進行編目操作。
3.讀寫過程是詢問器與單個標簽交互問答(讀或者寫)的方法。在讀寫之前,單個標簽必須惟一標識。讀寫包括多個命令,其中有些使用了R => T連接的一次基于焊盤覆蓋編碼。
與讀卡器命令一致,標簽將把其內部狀態以7個響應中的一個發送: Ready,ArbitRAte, Reply,Acknowledged,Open, Secured和Killed。標簽可能同時支持多達4個會話,使其可將分離的和編目的標簽連接至目前環境下的各個讀卡器。該標簽通過分時,使不同的讀卡器分享其他的標簽。雙向沖突檢測和排除控制由詢問器和標簽來處理。在編目階段,詢問器首先發出Query命令,一旦接收,標簽將把產生的15b隨即數( RNG)代碼從內部裝入其槽計數器。如果裝載的RNG為零,標簽將通過把它本身的代碼反射回輪詢器的辦法來回答輪詢器。如果裝載的RNG不為零,標簽保持原來的狀態。讀卡器則給標簽發送另一個QueryRep。一旦接收到,標簽將減少其槽計數器數,并且當值變為零時回復。如果發送Query或QueryRep命令后沒有檢測到沖突,詢問器將給標簽發回 ACK(應答)命令。標簽接收ACK命令后將變為應答狀態,準備接收下一個命令。詢問器將記錄已成功輪詢的標簽。如果回復后,標簽沒有從讀卡器接收到ACK命令,就回到Arbitrate狀態,減小槽計數器的值。沖突控制機制基本上取決于裝入槽計數器的RNG值。因為可以回復詢問器可能性為215,所以不同標簽可以以時分交替方式共享通信。
標簽存儲器分為四個不同的組,每一個都包含0或者更多的存儲字(見圖4):
1.包含取消和讀取密碼的保留存儲器。
2.包含有一個CRC-16、協議控制(PC)位的EPC存儲器,以及標簽連接或將連接的用來標識物體的電子產品碼(EPC)。
3.TID存儲器包含有一個8-b ISO/IEC 15963分配類標識,用于詢問器惟一標識常規命令和/或標簽支持的可選功能。
4.允許用戶定義數據存儲的用戶存儲器。存儲器結構由用戶定義。
所有內存條的邏輯地址從零(00h)開始編址。物理內存映射由銷售商定義。
在EPC Gen2協議中,標簽設計工程師可以自由選擇ASK或者PSK的反射調制,詢問器(讀卡器)必須能支持任何一個類型的解碼。除了選擇調制類型外,要發送的數據還必須被編碼成FM0基帶或者Miller調制信號。數字模塊應該根據編碼選擇,插入合適的前同步信號序列。數字模塊也必須包含一個可以將輸入脈沖船轉換成有效命令的解碼器。
從電路設計角度看,除整流器外,應答器的數字模塊消耗了大多數功率,這是因為該模塊包括存儲器、有限狀態機以及輸入/輸出(I/O)單元。為擴大應答器的工作范圍,使數字模塊的功率消耗最小非常重要。標準單元庫被經常用來綜合應答器的數字模塊。針對有些情況,制造商還開發了定制單元,以提供低功耗性能。
應答器中的存儲器單元很重要。為實現標簽的讀/寫,必須要有EEPROM和閃存等非易失性存儲器。采特殊工藝的EEPROM或閃存的可用性,也將限制它們在讀/寫標簽中的應用。如果需要EEPROM和閃存,就必須采用雙層多晶硅工藝。
數字控制模塊可以使用硬件方法或軟件可編程方法(使用微程序或微控制器)來實現。硬件方法需要的電路面積最小,但犧牲了靈活性。可編程模型需要很大的電路面積(采用微程序方法的電路面積大15倍,采用微控制器方法的電路面積大60倍),初始設計時間也相當長。因為重新配置工作可以轉移到具有更高抽象能力的軟件工程上,所以設計更改非常方便。
本文小結
UHF RFID應答器的一個主要設計約束是功率估算,它必須為數字模塊提供幾十μW的功率。如果要增加工作距離,則必須增加功率。另一個設計約束條件是芯片尺寸,通常選擇尺寸盡可能小的IC。在迄今為止涉及最簡單的RFID發射應答器中,整流器和數字模塊這兩個部分的功耗最大。數字模塊的不同性能參數使設計工程師可以在不同的設計約束之間進行折衷,包括架構、邏輯類型和綜合過程中最優化的面積/功耗。
作者:Faisal Mohd-Yasin, Y.K. Teh、M.B.I. Reaz等,Email: faisal.yasin@mmu.edu.my,馬來西亞多媒體大學
從RFID IC設計角度看,RFID存在兩個主要的設計約束:功率可用性/帶寬和應答器的復雜性。無源UHF RFID應答器設計要求折衷考慮功率要求、復雜性和芯片尺寸等因素,以獲得期望的性能。
目前,一些主要國家對UHF工業、科學和醫學(ISM)頻段的頻譜分配、帶寬和輻射功率的要求差異很大。(輻射功率常被定義為有效的各向同性輻射功率( EIRP))。根據"EPC全球"標準,UHF頻段范圍從860 MHz到960MHz,允許的功率水平為4W。但不同地區對UHF ISM頻段的要求不同:在北美,UHF ISM頻段為902 MHz到928 MHz,最大EIRP為4W;在歐洲,UHF ISM頻段為865MHz到868 MHz,最大EIRP為2W;在日本,UHF ISM頻段為952MHz到954 MHz,最大EIRP為4W。
應答器的復雜性是另一個設計約束因素。應答器的接收范圍取決于RF IC片(標簽)的最低導通功率(閾值功率)。在UHF RFID系統中,無源反向散射原理經常用在從標簽到讀卡器的反向鏈路中。可讀取范圍常常由從讀卡器到標簽的前向鏈接中標簽的可用輻射功率決定,這是因為到達讀卡器RF前端的可用反向散射信號強度大約為-25~-65dBm。

圖1:基本的UHF RFID應答器由整流器、調制器、解調器以及處理邏輯電平協議和存儲功能的數字電路。
如何選擇合適的工藝來制造RFID應答器芯片也是一個挑戰。為滿足低功耗要求,通常使用導通電壓低、結電容低以及驅動電流大的肖特基點觸點型二極管。因為生產肖特基觸點的工藝不屬于標準硅 CMOS半導體工藝,所以現在正在對用標準(低成本)數字體CMOS工藝制造肖特基觸點進行研究。對更昂貴工藝的研究也在進行,例如可制造高速雙極結型晶體管( BJT)器件的硅BiCMOS,以及低功耗性能非常優異的絕緣硅(SOI)技術。下面討論設計基本UHF RFID應答器所需的RF電路關鍵技術,包括整流器、調制/解調器和數字模塊等關鍵模塊。
RFID應答器的整流器電路
UHF RFID應答器由4個構建塊組成:整流器、調制器、解調器以及處理邏輯電平協議和存儲功能的數字電路(圖1)。在無源RFID系統中,能量取自于入射的詢問波。因為詢問波的能量很少,所以將應答器的功率保持在最小水平非常關鍵。
無源RFID應答器利用整流器電路將耦合的電磁波功率轉換成芯片所需的直流電壓。描述整流器電路性能的參數包括輸入阻抗Zin或芯片的品質因子(Q)、芯片的運行功率Pin和電壓Vin。整流器電路必須能將入射RF能量以最大效率(η)轉換成直流能量。電路設計工程師必須在維持高轉換效率的同時,獲得最大的輸出電壓及輸入阻抗。普通的全波整流器和Dickson電荷泵為兩個常用的整流結構。
采用兩個二極管級聯結構的全波整流器很常見。此外還存在這種結構的變體,包括一些基于 NMOS和 PMOS開關的結構。最主要的是,全波整流器的效率很高。但是,全波整流器要求輸入電壓超過3 VTH,這樣芯片可以輸出期望的輸出電壓。因此,全波整流器電路在UHF RFID應用中的工作范圍有限,除非它帶有高輻射電阻天線和高Q值匹配網絡,以便對輸入電壓進行放大。匹配網絡的Q值一般只為10量級。

圖2:Dickson電荷泵是UHF RFID整流器電路的一種可選結構,圖中是Dickson電荷泵的工作原理圖。
UHF RFID整流器電路的另一種可選結構是Dickson電荷泵(圖2),它主要用在非易失性存儲器中,以產生 EEPROM電路所需的高編程電壓。因為大多數RFID芯片也包含非易失性存儲器,所以設計工程師可以重用該電路拓撲,實現產生高電壓的電路,從而節省開發時間。
Dickson結構的簡化等式如式1。

Dickson電荷泵幾乎可用任何半導體器件來構建,但采用肖特基二極管和低閾值電壓( VTH ) MOSFET的設計具有最佳性能。Dickson電荷泵電路要求輸入電壓很小,設計工程師可以通過控制級數(N)來選擇想要的輸出電壓和輸入阻抗。但由于整流器件數量多,并存在泄漏電流和寄生參數,Dickson電荷泵的功率轉換效率較低。
RFID應答器的調制器和解調器
RFID調制器將應答器數據發送到RFID詢問器或讀卡器。反向散射調制被專門用在UHF RFID系統中。EPC Gen2協議定義了幅移鍵控( ASK)和相移鍵控( PSK)兩個調制方案。在ASK調制方案中,兩個阻抗狀態(只改變純電阻,開路或短路或等于兩個非零電阻)在兩個天線引腳之間互相切換。用戶可以選擇任何一個狀態來表示邏輯1或0。在PSK調制方案中也有兩個受控的阻抗狀態,但只改變虛部值。為在兩個虛部電抗值之間切換,設計工程師常常使用大MOSFET或帶壓敏電容的變容二極管。

在UHF RFID芯片設計中,天線端的等效阻抗可用電抗與電阻并聯來表示(圖3)。假設天線具有最小散射,則反向散射功率由式2表示:

在ASK調制中,天線端的等效阻抗為實數(X >> R),并在R1和R2之間對數據信號進行了調制。為使兩個狀態具有一樣的阻抗失配,選擇R1×R2=R2A 就足夠了。此時,在這兩個狀態中從天線傳送到負載的功率相等。假設R2>R1,為調制天線端的等效電阻,可以使用一個由數據信號驅動的開關,將電阻RMOD與應答器輸入電阻(R2)并聯,這樣R1=R2||RMOD。當不接電阻RMOD時,從天線等效的電阻等于R2,從天線傳送到負載的所有功率PIN2都可用來給應答器供電。當連接RMOD時,天線端的等效電阻等于R1,從天線傳送到負載的功率PIN的一部分可以用來為發射應答器供電,其余功率消耗在電阻RMOD上。當PIN2等于PIN1時,R1= R2。因此,從設計角度看,在ASK機制中不可能為標簽IC提供恒定功率。相應的等式為:

在PSK調制方案中,R= RA,這樣應答器近似處于匹配狀態,虛部分量X與數據信號進行調制。反向散射信號的相位信號θ由式4確定:



天線端的等效平均電抗(X)包括微分電容分量,并由式7確定:

解調器被用來將 RF載波中的數字信息解調出來。因為成本和電路板面積是主要的考慮因素,所以一般不考慮昂貴的相干檢測/超外差檢測。與幅度調制( AM/ASK)兼容的調制機制( DSBASK、 SSB-ASK和 PR-ASK)是詢問器-標簽調制方案的實際選擇,正如EPC Gen2協議所定義的那樣。對ASK兼容信號進行解碼所需的模擬元件是類似的,也是整流器和比較器。有些系統采用脈寬調制( PWM),因此除了使用包絡檢波器外,這些系統中的解調器必須測量輸入信號的脈寬,并利用脈寬甄別器區分信號中的數字1和數字0信息,否則數字模塊必須區分基于不同編碼的脈沖。
ASK采用最簡單的RF檢波,它使用了一個用二極管電容網絡實現的基本包絡檢波器。ASK解調器將以幅度變化形式存在的信息解調出來。解調器實際上是一個邊沿檢波器。在RFID系統的前向鏈路中不采用PSK,因為PSK解調采用了超外差檢波,需要本振( LO)、混頻器和濾波電路,這些電路非常復雜,而且需要很大的裸片面積。

圖4:RFID應答器的邏輯內存映射。
解調器的工作原理是:輸入載波通過整流器和包絡檢波器,獲得其包絡信息;包絡檢波器后面的低通濾波器屏蔽載波上其余的紋波噪聲;隨后信號被饋送到遲滯比較器,產生輸出。在邊沿檢波設計中必須考慮三個因素:低通濾波、比較器的遲滯性和比較器的靈敏度。RFID讀卡器決定了給數據率加標簽、編碼和包絡屏蔽期間的低通濾波參數。濾波器帶寬應該小于信號帶寬。有關數據包絡的規范在RFID空中接口協議中有說明。
比較器必須滿足UHF RFID應答器解調器定義的性能要求。應答器輸入電壓的動態范圍應根據不同的物理區域,在幾百毫伏到幾伏左右變化。包絡檢波器和低通濾波器后面的信號應具有相同的幅值范圍。比較器的性能指標包括比較器的共模輸入電平,以及以共模輸入電平百分比表示的差模輸入電平。
比較器的另一個重要參數是遲滯性。當模擬輸入信號緩慢移動或者包含噪聲時,但輸入信號處于閾值點附近時,比較器輸出可能發生振蕩。利用遲滯性可使輸出轉換期間的振蕩最小,但高遲滯性也意味著靈敏度下降、轉換速度變慢。
RFID應答器的數字控制模塊
數字控制模塊處理詢問命令、執行防沖突協議、進行數據總校驗、運行存儲器讀寫操作,并執行輸出控制和數據流動。EPC Gen2標準的命令組很復雜,需要使用復雜的數字核。根據用戶需求,如果要實現全部的Class 1(包括讀寫)性能,則需要非易失性存儲器。
詢問器利用三種基本操作管理標簽組。這些操作中的每一個都包含一個或多個命令。這些操作定義如下:
1.選擇過程是詢問器選擇RFID標簽組用于編目和讀寫的過程。在編目之前,詢問器可能使用一個或多個"選擇"命令來選擇某一特定標簽組。
2.編目過程是詢問器識別不同標簽的過程。詢問器通過以發射四個節中的一個之一發射"查詢"命令,開始編目過程。一個或多個RFID標簽可能回答。詢問器檢測到一個信號標簽回答后,請求該標簽的PC、EPC和CRC-16。每次只能一個節進行編目操作。
3.讀寫過程是詢問器與單個標簽交互問答(讀或者寫)的方法。在讀寫之前,單個標簽必須惟一標識。讀寫包括多個命令,其中有些使用了R => T連接的一次基于焊盤覆蓋編碼。
與讀卡器命令一致,標簽將把其內部狀態以7個響應中的一個發送: Ready,ArbitRAte, Reply,Acknowledged,Open, Secured和Killed。標簽可能同時支持多達4個會話,使其可將分離的和編目的標簽連接至目前環境下的各個讀卡器。該標簽通過分時,使不同的讀卡器分享其他的標簽。雙向沖突檢測和排除控制由詢問器和標簽來處理。在編目階段,詢問器首先發出Query命令,一旦接收,標簽將把產生的15b隨即數( RNG)代碼從內部裝入其槽計數器。如果裝載的RNG為零,標簽將通過把它本身的代碼反射回輪詢器的辦法來回答輪詢器。如果裝載的RNG不為零,標簽保持原來的狀態。讀卡器則給標簽發送另一個QueryRep。一旦接收到,標簽將減少其槽計數器數,并且當值變為零時回復。如果發送Query或QueryRep命令后沒有檢測到沖突,詢問器將給標簽發回 ACK(應答)命令。標簽接收ACK命令后將變為應答狀態,準備接收下一個命令。詢問器將記錄已成功輪詢的標簽。如果回復后,標簽沒有從讀卡器接收到ACK命令,就回到Arbitrate狀態,減小槽計數器的值。沖突控制機制基本上取決于裝入槽計數器的RNG值。因為可以回復詢問器可能性為215,所以不同標簽可以以時分交替方式共享通信。
標簽存儲器分為四個不同的組,每一個都包含0或者更多的存儲字(見圖4):
1.包含取消和讀取密碼的保留存儲器。
2.包含有一個CRC-16、協議控制(PC)位的EPC存儲器,以及標簽連接或將連接的用來標識物體的電子產品碼(EPC)。
3.TID存儲器包含有一個8-b ISO/IEC 15963分配類標識,用于詢問器惟一標識常規命令和/或標簽支持的可選功能。
4.允許用戶定義數據存儲的用戶存儲器。存儲器結構由用戶定義。
所有內存條的邏輯地址從零(00h)開始編址。物理內存映射由銷售商定義。
在EPC Gen2協議中,標簽設計工程師可以自由選擇ASK或者PSK的反射調制,詢問器(讀卡器)必須能支持任何一個類型的解碼。除了選擇調制類型外,要發送的數據還必須被編碼成FM0基帶或者Miller調制信號。數字模塊應該根據編碼選擇,插入合適的前同步信號序列。數字模塊也必須包含一個可以將輸入脈沖船轉換成有效命令的解碼器。
從電路設計角度看,除整流器外,應答器的數字模塊消耗了大多數功率,這是因為該模塊包括存儲器、有限狀態機以及輸入/輸出(I/O)單元。為擴大應答器的工作范圍,使數字模塊的功率消耗最小非常重要。標準單元庫被經常用來綜合應答器的數字模塊。針對有些情況,制造商還開發了定制單元,以提供低功耗性能。
應答器中的存儲器單元很重要。為實現標簽的讀/寫,必須要有EEPROM和閃存等非易失性存儲器。采特殊工藝的EEPROM或閃存的可用性,也將限制它們在讀/寫標簽中的應用。如果需要EEPROM和閃存,就必須采用雙層多晶硅工藝。
數字控制模塊可以使用硬件方法或軟件可編程方法(使用微程序或微控制器)來實現。硬件方法需要的電路面積最小,但犧牲了靈活性。可編程模型需要很大的電路面積(采用微程序方法的電路面積大15倍,采用微控制器方法的電路面積大60倍),初始設計時間也相當長。因為重新配置工作可以轉移到具有更高抽象能力的軟件工程上,所以設計更改非常方便。
本文小結
UHF RFID應答器的一個主要設計約束是功率估算,它必須為數字模塊提供幾十μW的功率。如果要增加工作距離,則必須增加功率。另一個設計約束條件是芯片尺寸,通常選擇尺寸盡可能小的IC。在迄今為止涉及最簡單的RFID發射應答器中,整流器和數字模塊這兩個部分的功耗最大。數字模塊的不同性能參數使設計工程師可以在不同的設計約束之間進行折衷,包括架構、邏輯類型和綜合過程中最優化的面積/功耗。
作者:Faisal Mohd-Yasin, Y.K. Teh、M.B.I. Reaz等,Email: faisal.yasin@mmu.edu.my,馬來西亞多媒體大學